What's Up GWE !!!!!!!
I just want to shout out to Nebz Haze, 4 Side, & all others on this site for activating my account
ALONG with providing a loving community that provides a vast amount of platinum information
for new cultivators like myself to learn from and a lot more that benefits us all!
Soon I am going to invest within a ideal RDWC DIY Setup
annnd I want to get a few questions answered and a few opinions
on what I'll need to get certain results and succeed on my first grow
Note: I am NOT as new as a person who's never ever grown before, I have small experiences here and there
with the help of this site and the blog the GWE Team has put together for us all...
Ok So Here's The IDEAL Set Up And Goals I WISH Manifest Into The Near Future...
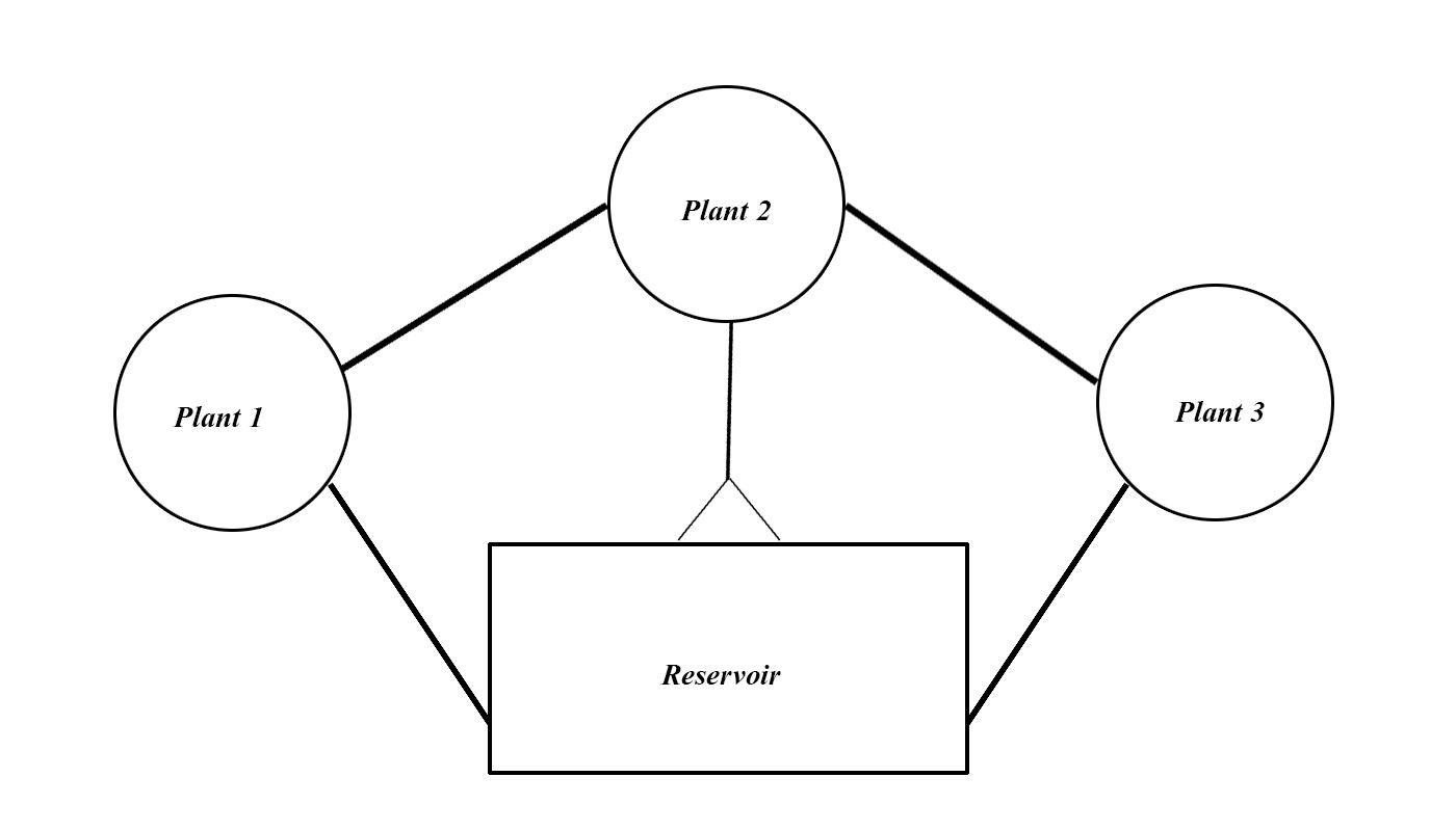
DRAFT SKETCH 1: I Forgot To Add The Return Line & Split From Plant 2 to The Reservoir...

DRAFT SKETCH 2: THE SPLIT AND RETURN PIPES / PVCs

CHECKLIST: First Draft
BTW. this list will be constantly updated in posts to keep everyone updated & up to par for anyone else that wants to start a similar system
AND also to help me keep track of what's needed to make updates before buying and making this operation a true working machine
Now a few goals of interest on my first grow...
I honestly need to get the supplies checklist right FIRST, then I will begin to ask more questions about the SUPER technical details for this setup
BTW I'm using techniques and knowledge of liquidjade, hygrohybird & the GWE info to string most of this together...
You Guys Think It's Possible??? I think it will be able to be effective and even more
I just want to shout out to Nebz Haze, 4 Side, & all others on this site for activating my account
ALONG with providing a loving community that provides a vast amount of platinum information
for new cultivators like myself to learn from and a lot more that benefits us all!
Soon I am going to invest within a ideal RDWC DIY Setup
annnd I want to get a few questions answered and a few opinions
on what I'll need to get certain results and succeed on my first grow

Note: I am NOT as new as a person who's never ever grown before, I have small experiences here and there
with the help of this site and the blog the GWE Team has put together for us all...
Ok So Here's The IDEAL Set Up And Goals I WISH Manifest Into The Near Future...
DRAFT SKETCH 1: I Forgot To Add The Return Line & Split From Plant 2 to The Reservoir...
DRAFT SKETCH 2: THE SPLIT AND RETURN PIPES / PVCs
CHECKLIST: First Draft
- 4 x 8 (96x48x80) or 8 x 8 (96x96x80) grow tent - Space
- 2 1000 w hps lights + 2 1000 w mhs (cool tubes + xl hoods) - Lights
- 3 17 gallon rope tubs (more root more fruit) - Root Space Pots
- 1 20-32 qt storage bin with latches or 7-13 gallon garbage bin (open & close lid) - Reservoir
- 5 inch net pots - Pots
- 2 400 gph water pumps ???? - Water Pump
- 4x2 air stones (4 each pot container) - Air Stones
- 3 4 outlet (pots) & 1 2 outlet air pumps ???? - Air Pumps
- PVCs & flow tubes for manifold and water transfer??? - Water Transfer
- 2 24 hour timer - Timer
- rise tubes - Water Indicators
- a/c cooling system?? - Chiller
- heater ?? - Heater
- 2 scrog nets - SOG
- nutes - Nutrients
- carbon filter & fan combo - Exhaust & Ventilation
- ???? - Odor Controller
- ducting - Fan, Light, Connections
- ph meter - PH Meter
- c02 meter - C02 Meter
- humidifier meter - Humidifier Meter
- temp meter - Temperature Meter
- To Be Continued......
BTW. this list will be constantly updated in posts to keep everyone updated & up to par for anyone else that wants to start a similar system
AND also to help me keep track of what's needed to make updates before buying and making this operation a true working machine

Now a few goals of interest on my first grow...
- Minimum of 2 & Half Pounds Yield
- Mid Pricing Budget - $600-1300
I honestly need to get the supplies checklist right FIRST, then I will begin to ask more questions about the SUPER technical details for this setup
BTW I'm using techniques and knowledge of liquidjade, hygrohybird & the GWE info to string most of this together...
You Guys Think It's Possible??? I think it will be able to be effective and even more

Comment